Introducción:
Desde la teoría de la Transformación de Hendrik
Antoon Lorentz juntamente con
Hendrik Antoon Lorentz, apoyándose en el teorema
de Pitágoras, dedujo cual seria la relatividad del espacio tiempo respecto a la
velocidad pasando a llamar dicha relación el Factor de Lorente, una relación
que se establecería para un mismo fenómeno físico entre dos observadores distintos
con diferente cantidad de momento o cambio y relacionado con la velocidad de la
Luz.
Lorentz tenía la convicción de que la velocidad
de un objeto dependería de la velocidad del observador, y aunque Galileo hacia
referencia a la misma cuestión afirmando que no existía diferencia entre el
estado de reposo y el movimiento, fue Einstein quien dijo la última palabra al
afirmar que nada está en reposo absoluto en el universo y que se debería adaptar
la Teoría de la relatividad asumiendo las convicciones de Lorentz, fué entonces
cuando Albert Einstein hizo un logro intelectual y desarrolló
El Experimento de Michelson y Morley: El Interferómetro.
El Experimento en si y en base a su planteamiento
fue fallido. En pocas palabras, consistió en hacer reflejar dos rayos de luz
que recorrían una misma distancia pero por diferentes trayectorias de manera
que, teniendo en cuenta el desplazamiento de la tierra, el recorrido de uno
seria mayor al recorrido del otro y por consiguiente lo que afectaría a la
interferencia de sus rayos reflejados en superposición.
De él se asumió la premisa de que la velocidad de
la luz es siempre la misma para todos los observadores independientemente de el
desplazamiento del observador, es decir, que si una persona viaja a la
velocidad de la luz, esta seguiría viendo la luz viajar a 300.000 Km/sg. Por otro lado, Albert Einstein postuló que la luz se curvaría por la
influencia de la gravedad al pasar por las proximidades de una estrella, es
decir, que estaría influenciada por G
en su trayectoria, por lo que a mi parecer, el campo G de la Tierra no debería
de ser una excepción.
Pienso que asumir que la
velocidad de la luz es siempre la misma para cualquier observador a partir de
los resultados del experimento no concluyente de Michelson y Morley puede ser
un error, de hecho encuentro algunas incongruencias que así me lo indican, y en
definitiva, de esto va este artículo.
Esquema del experimento de Michelson y Morley:
Del hecho de que no se produjese alteración
alguna, Lorentz se planteo que pasaría si dos relojes de luz exactamente iguales
y sincronizados, tuviésemos uno en reposo mientras que el otro se desplazase
por el espacio a velocidades próximas a la Luz.
El esquema del supuesto de Lorentz.
A partir de aquí, imaginó que el recorrido del
rayo de luz del reloj que se estaría desplazando en (v) seria mayor que el del reloj en estado de reposo, y apoyándose
en Pitágoras, dedujo cual seria la relatividad del tiempo entre ambos relojes a
partir de la comparativa entre la hipotenusa (recorrido de la luz en
desplazamiento) y la vertical (recorrido de la luz en reposo).
Ahora ya podemos comparar las ecuaciones de
relatividad de Galileo y Lorentz en dirección al moviendo en el eje de x, siendo y’ = y y z’ = z
Relatividad de Galileo
x’ = x – vt
Relatividad de Lorentz
x’ = g ( x – vt).
De donde se deduce que el tiempo
Antes de continuar, quiero
apuntar una conclusión que extraje del principio de superposición, en el
cual, la Superposición sería el posicionamiento alcanzado dentro de un mismo
plano espacial y temporal por un conjunto similar de elementos cuando se encuentran
condicionados por la influencia de un límite común que los caracteriza, lo que
hace que se muestren como una unidad desde nuestra perspectiva.
En el análisis reflexivo que realizo dentro de ficho blog sobre los diferentes tipos de superposición, se puede comprobar como en la síntesis aditiva de luz, los campos a falta de un límite siempre se superponen, lo que pone en evidencia el cálculo realizado en la Relatividad de Lorentz para obtener la relatividad en desplazamiento, un análisis matemàtico donde erróneamente se sumaron los vectores en vez de superponerlos, tal y como podemos comprobar que ocurre en la naturaleza. De aquí nace toda la fantasía que nos lleva más de un siglo divagando con los viajes por el tiempo.
Les dejo con el enlace:
Experimento comparativo de
los dos relojes de luz.
Si repasamos el supuesto
comparativo de los dos relojes de Lorentz, podemos ver como según el principio
de superposición, es imposible sumar al vector C el vector V horizontal
por límite hallado en C para la
superposición, de manera que la velocidad de la luz será siempre la misma
independientemente del desplazamiento horizontal. Así, el primer error en el
experimento comparativo de los dos relojes de luz está en intentar sumar dos
vectores (C y V) cuando claramente uno de ellos se encuentra en su límite, aunque también podría ser que al formar parte de un mismo sistema, reloz y luz viajen juntos y de este modo, la velocidad de la luz seria constante independiente del desplazamiento lateral.
El segundo error es asumir
que el rayo de luz del reloj en desplazamiento no tiene deriva y que trazará la
trayectoria diagonal sobre
Otro ejemplo de deriva lo podemos observar en el campo magnético generado por un imán en nuestro entorno inmediato, un campo que existe dentro del propio campo magnético de la Tierra y que es capaz de interactuar con este en porciones tan pequeñas que permiten la coexistencia; la posibilidad de dicha coexistencia implica que uno se desplazará dentro del otro al margen del recorrido global, de no ser así, no habría interacción.
La interpretación espacial de tal deriva la podemos
además comparar con la demostración del experimento de la espira y el campo
magnético, donde tanto si mueves el imán como la espira se obtiene el mismo
resultado, tal y como predijo Maxwell quien vio que estaban directamente relacionados siendo parte de una misma dentro de su conjunto. Lo mismo ocurrirá si
observas la trayectoria de la luz desde la Luna y no desde el espacio omitiendo en la ecuación tu desplazamiento.
Otro error lo veremos
más fácilmente con el siguiente ejemplo.
La esfera de Luz de Albert y Henri.
Aquí y bajo la premisa de que la velocidad de la luz es la misma para todo el mundo a partir de las deducciones del experimento de Michelson y Morley, cada uno mide la velocidad de la luz respecto así mismo como centro de una esfera luminosa en expansión, y por consiguiente, cada uno cree permanecer en el centro, y aunque el desplazamiento de cada uno de ellos no afecte a la velocidad de la luz, si que lo hace en su posición respecto al origen, de manera que ellos van perdiendo dicha centralidad a favor del vector de desplazamiento. Lorentz mantenía la tesis de que cada uno de ellos permanecería en el centro de la esfera luminosa, pero actualmente, cualquier astrónomo puede corroborar la evidencia de que Henri se desplazaría a sabiendas de que todo lo que observamos en el firmamento forma siempre parte del pasado, es decir, que las cosas ya no están donde las vemos,.
Pienso que el error principal está en la fuente de la Teoria especial de la Relatividad, es decir, en la interpretación del experimento de la espira y el iman, el mismo que se esta repitiendo en este mismo, ya que tal y como dedujo el Sr. Galileo y desde un punto de vista global, el reposo absoluto no existe pués todo está en movimiento, y en el experimento se esta asumiendo erróneamente que uno de los dos está en reposo absoluto, cuando desntro de un mismo Universo ambos están en movimiento, y de lo que se trata es de una variación en la velocidad de uno respecto al otro, asi que pienso que esta debería serla interpretación que se dedujese de la observación de ambos experimentos, y no la que en definitiva se asumió.
Sigamos...
Una manera de medir la
velocidad real de un objeto respecto a C podría estar en la observación del
desplazamiento de las frecuencias de luz que se derivan de su desplazamiento,
pues del mismo modo que la distancia entre dos puntos se puede medir por el
desplazamiento al rojo, la aceleración respecto a un punto de luz se puede
medir también mediante la comparación de la variación de todas sus frecuencias como
resultado de su desplazamiento a medida que se acelera.
Vamos con más ejemplos
populares y sus errores.
Ejemplo de Henri Bergson en Brooklyn y su lanzamiento de pelota.
De este ejemplo se han hecho
muchas versiones, desde el tiro al arco desde un tren, encender una linterna,…
pero prefiero el clásico por las casualidades, donde Henri es capaza de lanzar
una pelota a la velocidad de
Para simplificar el ejemplo,
aceptamos que tanto Henri como la Pelota tienen la misma masa, de manera que si
Henri lanza una pelota a 0.6C, esta saldrá contrariamente a las
observaciones del ejemplo y según
Podemos ver que los dos
errores principales que no se han contempló en el ejemplo de Henri Bergson en
Brooklyn y su lanzamiento de pelota son: la aplicación de
Como vemos que el ejemplo
propuesto, tal y como se planteó, no nos resulta útil, voy ha hacer algunos cambios
para poder poner a prueba la Tercera ley de Newton en el espacio y el principio
de Superposición.
Supongamos que Albert está ahora
en casi reposo absoluto y que es Henri quien viaja por el eje de la X a una velocidad de 0.6C.
Aunque aparentemente es lo mismo que el planteamiento original, en la teoría de
la relatividad claramente no es así si tenemos en cuenta los límites a la
propagación, la distancia de
Cuando Henri lanza la pelota
en lo que se trata sin duda del mejor lanzamiento de la historia, lo hace ahora
en su segundo intento a una velocidad de 0.9C. Teniendo en cuenta que el límite
a la propagación de la energía es C, este límite actuará como un muro
infranqueable para todas la partes haciendo que la velocidad de la pelota
respecto a Henri seguirá siendo lógicamente de
Los cálculos para el reparto
de energía son los siguientes:
Velocidad de Henri respecto
a Albert: D0.6C
Velocidad de
Aplicamos la 3a Ley de
Newton en superposición con límite en C:
Para obtener incremento
posible de energía que puede absorber la pelota respecto al límite C fijado
para la superposición será el resultado de restar al límite C
la velocidad de Henri.
[(
El resto, la diferencia
entre la energía absorbida por la pelota y su energía inicial será toda la
energía disponible para Henri tras aplicar la tercera ley de Newton en
superposición.
[(
Pelota: +
Henri: +
Albert:
De la 3ª Ley de Newton en el
Espacio y el límite a la propagación de la energía en C podemos deducir que si
para alcanzar una velocidad se necesita siempre el doble de energía en un mismo
espacio de tiempo, una masa nunca podrá alcanzar la velocidad de la luz al ser
siempre la aceleración la mitad de la fuerza aplicada y estar limitada en la
propagación de su energía en C. Necesitaría pues proyectar más energía
y a mayor velocidad que la de la luz para poder alcanzarla, por lo que en la
realidad y volviendo al ejemplo del lanzamiento de la bola de Henri, está nunca
llegará a alcanzar la velocidad de la luz por mucho que el cálculo nos
demuestre lo contrario. Desde el mismo punto de vista de la tercera ley de
Newton, debe ocurrir lo mismo para las aceleración de partículas, estás nunca
llegarán a alcanzar la velocidad de la luz por absorber siempre la mitad de la energía
necesaria para tal velocidad.
Nota:
¿Porque multiplicamos la aceleración y no la masa por 2?
¿Es posible que la función sea E = C · m^2 en vez de E = m • C^2 a sabiendas de que ambas comparten la misma derivada?
Está claro que para acelerar una masa y su energía se conserve, se necesita el doble de cantidad energía de la esperada alcanzar y conservar. Esta necesidad es debida al reparto opuesto de energía que se produce ante la falta de un punto de apoyo, tal y como ocurre en el espacio, al liberarse la misma para producir la aceleración, de ahí que ante la duda de las dos posibles integrales de la Fuerza que se nos plantea en la segunda pregunta, sea la función F = m • 2C la correcta a tener en cuenta y no la F = C • 2m, siendo su integral: E = m • C^2, tal y como apuntó el Sr. Albert Einstein, al variar la cantidad de energía y no la masa para producir una aceleración.
Ejemplo de dos Cohetes y sus bolas de billar.
En este ejemplo, se plantea la existencia de dos cohetes que viajan a la misma velocidad pero en sentido contrario, y que ambos, dejaran ir una bola de billar para que rebote con la de su contrario y retorne cada una a su cohete original. En el planteamiento se hacen varias hipótesis modificando el estado de un cohete hasta el punto de reposo absoluto y atribuyendo toda la energía al cohete contrario, cosa que es prácticamente imposible.
Albert Einstein realiza
todas estas suposiciones sin tener en cuenta que el marco para la comparativa relativa
es de
Omitiendo la suma de
vectores, como realiza en el supuesto de un reposo absoluto relativo para uno
de los dos cohetes, podemos ver como los vectores de altura A y –A correspondientes al movimiento
de la bola para cada cohete son
siempre los mismos independientemente de la magnitud del vector B.
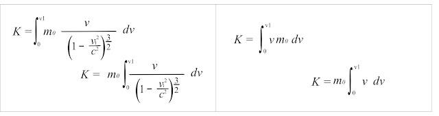
Lorentz & Einstein VS Galileo & Newton
El
trabajo realizado sobre un cuerpo es igual a la integral de la fuerza a
lo largo del camino por el que lo mueve, ese trabajo se convierte en
energía cinética.
(Work - Kinética)
Y la cantidad de movimiento depende de la masa, que según Einstein y a partir de Lorentz, también cambia con la velocidad.
Pero no desde el punto de vista de Newton y Galileo.
Si la velocidad va de
Integramos entre 0 y v=c:
Hacemos la anti-derivada pero antes..
Como m0 es el valor de la masa en reposo, la energía de la masa en reposo.
E0 será = m0 · c2
Conclusión:
Vista la igualdad de los resultados y después de la comparativa entre ambas corrientes, deberíamos tener en consideración si el logro intelectual realizado por Albert Einstein debe permanecer en la Física o limitarse sólo al ámbito de las Matemáticas, pues si su punto de partida fué asumir las conclusiones de Lorentz como válidas aunque actualmente no se sustenten, llegando al mismo resultado que Isaac Newton sin la necesidad de curvar el espacio tiempo, quizás no sea necesario seguir manteniendo a g en la ecuación cuando sin ella funciona exactamente igual.
Por último, también debo reconocer a favor de Albert que sin su Teoría Especial de la Relatividad, no nos hubiéramos planteado las nuevas teorizaciones que nos han hecho llegar al marco de la actual física de partículas.























