Para el cálculo de la altura alcanzada por la deriva de la luz en campos circulares como el de la Vía Láctea nos valdremos de la función seno y del teorema de Pitágoras.
La Teoría Espacial de Campos es una interpretación de la mecánica del universo a partir del campo propio de cada partícula, el punto de apoyo relativo y su ausencia, indispensable para comprender el sentido espacial de la teoria, y la superposición de campos resultante del límite universal de la propagación de la energía en "c". En ella se sugieren actualizar algunas de las interpretaciones de la mecánica clásica para dar una comprensión más cercana del universo.
martes, 12 de abril de 2022
SOLUCIÓN GEOMÉTRICA AL CÁLCULO DE LA ALTURA DE LA DERIVA EN CAMPOS CIRCULARES
miércoles, 6 de abril de 2022
CÁLCULO DE LA DERIVA DE LA LUZ EN CAMPOS EN MOVIMIENTO
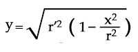
Para calcular cual sería la deriva que experimenta un rayo de luz en la Vía Láctea cuando se desplaza por el plano de la misma donde el campo tenfria un desplazamiento nos valdremos de la función:
A partir de ella, despejaremos la "y" para obtener cual ha sido la deriva de la luz a la altura en que se encuentra el observador.
Teniendo presente que r' es altura del puente que describe la trayectoria de la luz, será dicho dato junto con la velocidad de traslación lo que nos permitirá calcular la deriva para cualquier punto del plano de la galaxia.
r' = ((r) x (Vat/C))
DATOS:
Velocidad galaxia por el universo 555 Km/sg
Diámetro: 190.000 años luz.
Radio: r = 95.000 años luz.
Grosor: 10.000 años luz.
Periodo de rotación 240.000.000 años
Vat: Velocidad angular Traslación en todo su radio exterior 220-240 Km/seg. (230 Km/seg de media).
C = 299.792,458 Km/seg.
Hemos de tener presente que la Vía Láctea no es homogénea y que la velocidad de traslación de la misma no es del tipo angular como ocurre en cualquier movimiento circular uniforme, sino que se desplaza en bloque en una amplia sección de su radio, lo que hace que la deriva tienda a ser más en diagonal que no circular dentro de dicho intervalo.
También hemos de tener presente que todos los datos son aproximados pues se desconoce la certeza exacta de estos.







